| 일 | 월 | 화 | 수 | 목 | 금 | 토 |
|---|---|---|---|---|---|---|
| 1 | 2 | 3 | 4 | 5 | 6 | |
| 7 | 8 | 9 | 10 | 11 | 12 | 13 |
| 14 | 15 | 16 | 17 | 18 | 19 | 20 |
| 21 | 22 | 23 | 24 | 25 | 26 | 27 |
| 28 | 29 | 30 | 31 |
- CVPR
- 딥러닝
- Neural Radiance Field
- 논문리뷰
- Semantic Segmentation
- panoptic nerf
- NeRF paper
- linux
- ICCV 2021
- paper review
- Python
- NERF
- 논문 리뷰
- 논문
- 2022
- pytorch
- 경희대
- IROS
- GAN
- 파이토치
- Deep Learning
- Computer Vision
- panoptic segmentation
- CVPR2023
- docker
- 융합연구
- 리눅스
- Vae
- ICCV
- Paper
- Today
- Total
윤제로의 제로베이스
VQ-VAE (Neural Discrete Representation Learning) 본문
VQ-VAE
VQ-VAE의 특징을 간략히 말하면
1) 이산 codes를 출력함.
2) Proior이 정적이 아닌 학습이 가능함.
추가적으로 설명하자면 VQ-VAE는 이산 표현을 다룬다. VQ(Vector Quantization)을 사용하면서 posterior과 prior distribution은 categorical하며, 이때 sampling 된 sample은 embedding table을 indxing 한다.
이 embeddings 가 decoder에 들어가게 된다.
Vector Quantization는 딕셔너리 형태로 카테고리 매핑을 한다.
Vector Quantization은 Kmeans clustering을 사용하여 codebook을 만드는 과정이다.
이 code book을 이용하여 데이터를 압축하는 것이다.
Discrete Latent Variables
embedding e는 이산표현으로 이루어지며 이것을 code book이라 칭한다.
K : 이산 표현 공간의 크기 (K-way categorical)
D : embedding vector e_i

x는 encoder의 input으로 들어가 z_e(x)를 output으로 내뱉는다.
여기서 z는 embedding space e 에서 가장 가까운 embedding vector를 찾는다.
수식 1

여기서 q(z=k|x)는 deterministic하며 z에 대해 균등 prior를 정의한다. 이 때문에 KL-Divergence를 상수로 얻을 수 있다.
수식 2
zq(x)=ek,wherek=argminj∥ze(x)−ej∥2(2)
z_q(x)는 embedding 중 가장 가까운 우너소를 찾고 discretisation bottle neck으로 전달한다.
Learning
여기서 수식 2는 gradient가 없다.
이를 straight through estimator와 비슷하게 근사가 가능하다.
decoder input z_q(x)를 encoder output으로 gradient를 복사한다.
Forward로는 z_q(x)가 전달되며 Backward로는 gadient가 encoder에 그대로 복사되는 것이다.
수식 3

첫번째 Reconsruction Loss의 경우 decoder와 encoder 모두 최적화 시키는 항이다.
두번재 code book Loss에서는 embedding e_i는 gradient가 없다보니 VQ를 사용한다. VQ objective는 각 e를 encdoer의 출력 z_e(x)로 이동하게 만든다.
embedding e_i는 주로 벡터의 형태로 나타나지만 실제로는 2차원 이상의 형태를 보인다. 총 K개를 가지고 있으며 K-means와 Commitment loss 계산을 할 땐 평균을 내서 사용한다.
세번째 Commitment Loss에서는 embeding space가 무한대로 가다보니 e_i가 학습이 잘 안되는 경우를 고려하여 추가되었다. Beta를 통해 commitment loss의 중요도를 조절할 수 있다.
위 수식에서 sg의 경우에 Stop Gradient를 의미한다.
수식 4
decoder p(x|z)는 MAP 추론을 통해 z=z_q(x)로 학습한다.
이 때문에 만약 z!=z_q(x)라면 decoder는 그 어떠한 distribution도 구하지 않아도 되게 된다.
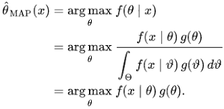
MAP(Maximum A Posterior estimation)
수식 5

MAP방식이란 주어진 관측 결과와 사전 지식을 결합하여 최적의 모수를 찾는 방법이다.
Priors
Discrete latents p(z)에 대한 prior distribution = categorical distribution
feature map 안에서 다른 z에 의존하여 autogressive하게 만들어질 수 있음.
VQ-VAE의 경우 학습하는 동안 prior를 상수로 균등하게 유지한다.
'Self Paper-Seminar > VAE' 카테고리의 다른 글
| Intro-VAE (0) | 2022.10.25 |
|---|---|
| InfoVAE: Information Maximizing Variational Autoencoders (0) | 2022.10.19 |
| Beta-VAE (1) | 2022.10.05 |
| Conditional Variational AutoEncoder: CVAE (0) | 2022.09.28 |
| Variational Autoencoders: VAE (0) | 2022.09.21 |