Notice
Recent Posts
Recent Comments
Link
| 일 | 월 | 화 | 수 | 목 | 금 | 토 |
|---|---|---|---|---|---|---|
| 1 | ||||||
| 2 | 3 | 4 | 5 | 6 | 7 | 8 |
| 9 | 10 | 11 | 12 | 13 | 14 | 15 |
| 16 | 17 | 18 | 19 | 20 | 21 | 22 |
| 23 | 24 | 25 | 26 | 27 | 28 | 29 |
| 30 |
Tags
- panoptic segmentation
- 2022
- pytorch
- 파이토치
- panoptic nerf
- ICCV 2021
- 경희대
- Semantic Segmentation
- NeRF paper
- 논문 리뷰
- Vae
- 리눅스
- 논문
- Computer Vision
- CVPR2023
- Paper
- ICCV
- Neural Radiance Field
- 융합연구
- Python
- paper review
- 논문리뷰
- 딥러닝
- linux
- docker
- NERF
- GAN
- IROS
- CVPR
- Deep Learning
Archives
- Today
- Total
윤제로의 제로베이스
Learning Object-Compositional Neural Radiance Field for Editable Scene Rendering(ICCV 2021) 본문
Self Paper-Seminar/NeRF
Learning Object-Compositional Neural Radiance Field for Editable Scene Rendering(ICCV 2021)
윤_제로 2023. 4. 2. 23:54Learning Object-Compositional Neural Radiance Field for Editable Scene Rendering(ICCV 2021)
https://zju3dv.github.io/object_nerf/
Introduction
이 논문에서 추구하는 contribution은 다음과 같다.
- the first editable neural scene rendering system given a collection of posed images and 2D instance masks
- design a novel two-pathway architecture to learn object compositional neural radiance field
- the experiment and extensive ablation study demonstrate the effectiveness of our system and the design of each component
Method
Framework of Object-Compositional NeRF

Scene Branch: 전체적인 scene의 geometry와 appearance를 encode
Object Branch: Learnable Object Activation Code와 standalone object를 encode
Object-Compositional Learning: Object supervision
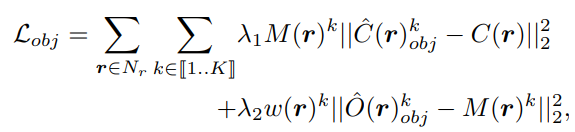
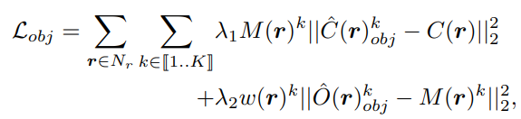
일단 K개의 annotated object의 learnable object code library를 사용한다.

Loss 수식에서 첫 줄은 Rendered object color와 Real color를 mask를 한 상태로 MSE를 진행하는 것을 보여주고, 바로 밑에는 Rendered object opacity와 ground truth instance mask의 MSE를 계산하는 것이다.
Object-Compositional Learning: Occlusion issue
여기서 말하는 Occlusion issue라 함은 아래의 그림처럼 object가 다른 object에 가려져 rendering을 할 때 제대로 되지 않는 issue를 말한다.

Object-Compositional Learning: Scene-guided occlusion identification
위와 같은 occlusion을 방지하기 위해서 scene branch로부터 얻은 geometric cue를 사용한다.
scene guidance가 occluded region에 대해서 point sampling하지 않도록 하면서 erroneous도 완화한다.
Object-Compositional Learning: 3D guard mask

Editable Scene Rendering

참조
- Yang, Bangbang, et al. "Learning object-compositional neural radiance field for editable scene rendering." Proceedings of the IEEE/CVF International Conference on Computer Vision. 2021.
- https://zju3dv.github.io/object_nerf/
'Self Paper-Seminar > NeRF' 카테고리의 다른 글
| Panoptic NeRF: 3D-to-2D Label Transfer for Panoptic Urban Scene Segmentation (0) | 2023.05.01 |
|---|---|
| Panoptic NeRF (0) | 2023.04.26 |
| GNeRF: GAN-based Neural Radiance Field without Posed Camera(ICCV 2021) (0) | 2023.04.02 |
| Point-NeRF: Point-based Neural(CVPR2022) (0) | 2023.01.12 |
| Light Field Networks: Neural Scene Representations with Single-Evaluation Rendering (0) | 2022.11.23 |